GSI Forum
GSI Helmholtzzentrum für Schwerionenforschung

Home » PANDA » PandaRoot » EMC » correction in emc bump splitting
correction in emc bump splitting [message #7669] Tue, 13 January 2009 04:10 Go to previous message
Dima Melnychuk is currently offline  Dima Melnychuk
Messages: 213
Registered: April 2004
Location: National Centre for Nucle...
first-grade participant
From: 94.254.162*
Hi all,

I have corrected the small bug in emc code which affected bump splitting and particularly calculation of the bump position. (rev.4314)

The energy of the bumps was calculated properly but to suppress merged pi0, we need not only energies of the bumps but also opening angle of pi0. And the bug in the calculation of bump position resulted in wrong opening angle and as a result in low efficiency of the merged pi0 suppression.

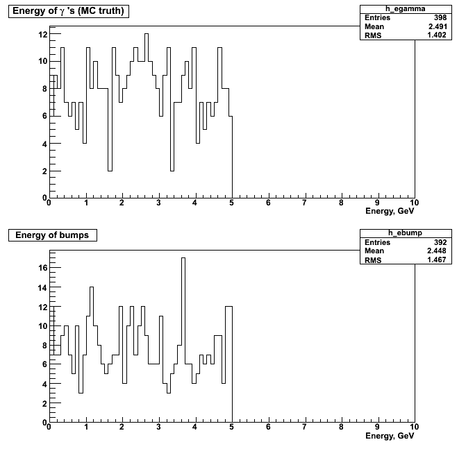
The pictures below gives some demonstration of the bump splitting for 200 event, 5 GeV pi0 generated in [30;60] degree theta range.

The following picture presents the MC Truth energy of gamma's from pi0 decay and reconstructed energy of EmcClusters.

index.php?t=getfile&id=4903&private=0

The same for EmcBumps
index.php?t=getfile&id=4904&private=0

i.e. the energy distribution is reproduced.

The opening angle of pi0 for MC Truth and EmcClusters
index.php?t=getfile&id=4905&private=0

And reconstructed opening angle for EmcBumps
index.php?t=getfile&id=4906&private=0


And finally pi0 invariant mass for EmcClusters
index.php?t=getfile&id=4907&private=0
and EmcBumps
index.php?t=getfile&id=4908&private=0
i.e. without bump splitting only 10 % of pi0 are reconstructed.

All the pictures are plotted with bump_analysis.C macro.

Best regards,
Dima
 
Read Message
Read Message
Read Message
Read Message
Read Message
Read Message
Read Message
Read Message
Previous Topic: PndMicroWriter and pi0 reconstruction efficiency
Next Topic: Bump splitting: new endcap vs. old endcap
Goto Forum:
  


Current Time: Sun Apr 12 18:20:20 CEST 2026

Total time taken to generate the page: 0.00756 seconds