GSI Forum
GSI Helmholtzzentrum für Schwerionenforschung

Home » PANDA » PandaRoot » Analysis » No back propagation to IP for V_0 reconstruction
Re: No back propagation to IP for V_0 reconstruction [message #17633 is a reply to message #17627] Thu, 04 December 2014 12:43 Go to previous messageGo to previous message
donghee is currently offline  donghee
Messages: 385
Registered: January 2009
Location: Germnay
first-grade participant
From: *tmn.scc.kit.edu
Hi Stefano,

First of all, I plotted meaningless distance in previous posting.
I simply forgot to replace truth object after accessing reconstructed K_s in order to have true information.
Now I found where is something wrong and fixed my code to plot correctly.
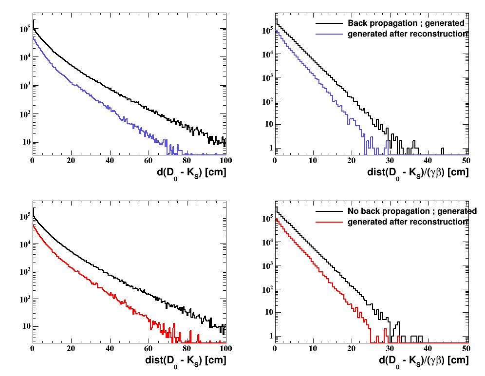
Plots show the distance between D_0 vertex and K_s vertex and normalized one.
I access true D_0 vertex and K_s vertex by K_s itself and its daughter. Accessor looks like this.

Quote:

RhoCandidate *truth = ks0[j]->GetMcTruth();
TVector3 vdist = truth->Pos() - truth->Daughter(0)->Pos();
Float_t dist = vdist.Mag();
Float_t ctau = dist * truth->M() / truth->P();


Every black line is a generated decay distance and normalized distribution by distance*(m/p).
And suvived(reconstruced correctly) decay distance are plotted to test the quality of efficiency in every decay region.
I do not see any improvement from no back propagation approach, still.

index.php?t=getfile&id=8208&private=0


Best wishes,
Donghee


 
Read Message
Read Message
Read Message
Read Message
Read Message
Read Message
Read Message
Read Message
Read Message
Read Message
Read Message
Read Message
Read Message
Previous Topic: Vertex fitter for two consecutive decays
Next Topic: Efficiency reduction of antiprotons above 20 degrees
Goto Forum:
  


Current Time: Wed Apr 15 02:17:39 CEST 2026

Total time taken to generate the page: 0.00729 seconds